अपडेटेड 13 May 2025 at 15:03 IST
LIVE UPDATES/ CBSE Board 10TH Result Out: इंतजार हुआ खत्म, सीबीएसई बोर्ड 10वीं का रिजल्ट हुआ जारी, सबसे पहले यहां करें चेक
CBSE Board Result LIVE Out 2025: सीबीएसई 10वीं की परीक्षा देने वाले छात्रों का इंतजार खत्म हो गया है। केंद्रीय माध्यमिक शिक्षा बोर्ड (CBSE) ने 10वीं कक्षा के नतीजे घोषित कर दिए हैं। इससे पहले 12वीं की परीक्षा देने वाले लाखों छात्रों का इंतजार खत्म हो चुका है। 12वीं कक्षा के परिणाम जारी कर दिए गए। इस बार परीक्षा में 88.39 फीसदी छात्र पास हुए हैं।
CBSE Board Result LIVE Out 2025: सीबीएसई 10वीं की परीक्षा देने वाले छात्रों का इंतजार आखिरकार खत्म हो चुका है। केंद्रीय माध्यमिक शिक्षा बोर्ड (CBSE) ने 10वीं कक्षा के नतीजे घोषित कर दिए हैं। 10वीं का रिजल्ट चेक करने के लिए सबसे पहले CBSE की ऑफिशियल वेबसाइट results.cbse.nic.in या cbse.gov.in पर जाएं। इसके बाद CBSE Class 10th Result के लिंक पर क्लिक करें। अगले स्टेप में रोल नंबर, एडमिट कार्ड आईडी और जन्म तिथि डालें। इसके बाद आपकी स्क्रीन पर रिजल्ट खुलकर आ जाएगा।
- Listen to this article
13 May 2025 at 15:03 IST
CBSE की ऑफिशियल वेबसाइट पर लिंक एक्टिव, चेक करें रिजल्ट
कक्षा 10वीं बोर्ड के रिजल्ट चेक करने का लिंक एक्टिव हो चुका है। CBSE की ऑफिशियल वेबसाइट results.cbse.nic.in या cbse.gov.in पर जाकर CBSE Class 10th Board Result चेक कर सकते हैं। 

13 May 2025 at 15:00 IST
45 हजार से ज्यादा स्टूडेंट्स के 95 प्रतिशत
CBSE कक्षा दसवीं की परीक्षा में 45516 छात्र 95 और उससे ज्यादा नंबरों से पास हुए हैं। CWSN कैटगरी में 66 स्टूडेंट्स ने 95 प्रतिशत और उससे ज्यादा नंबरों से 10वीं का सीबीएसई एग्जाम पास किया है।
Advertisement
13 May 2025 at 14:56 IST
सीबीएसई छात्रों को PM मोदी का खास मैसेज
PM मोदी ने सीबीएसई छात्रों को खास मैसेज देते हुए लिखा, 'प्रिय #ExamWarriors, CBSE कक्षा XII और X की परीक्षा उत्तीर्ण करने वाले सभी लोगों को हार्दिक बधाई! यह आपके दृढ़ संकल्प, अनुशासन और कड़ी मेहनत का परिणाम है। आज माता-पिता, शिक्षकों और अन्य सभी लोगों की भूमिका को स्वीकार करने का दिन भी है जिन्होंने इस उपलब्धि में योगदान दिया है। एग्जाम वॉरियर्स को आगे आने वाले सभी अवसरों में बहुत सफलता की कामना करता हूँ!
13 May 2025 at 14:15 IST
इस स्कूल ने किया सबसे अच्छा प्रदर्शन
जवाहर नवोदय विद्यालय में सीबीएसई कक्षा 10वीं बोर्ड के नतीजे 99.49% प्रतिशत रहे। वहीं 12वीं की बात करें तो जवाहर नवोदय विद्यालय में नतीजे 99.29 फीसदी रहे। 10वीं कक्षा और 12वीं कक्षा दोनों में दूसरे नंबर केंद्रीय विद्यालय रहा है।
Advertisement
13 May 2025 at 14:07 IST
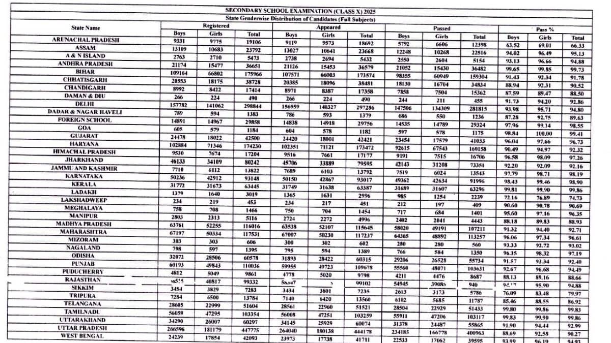
देशभर में CBSE बोर्ड का रिजल्ट कैसा रहा?
देशभर में CBSE बोर्ड का रिजल्ट कुछ ऐसा रहा है।

13 May 2025 at 13:49 IST
कितने प्रतिशत लड़कियां और कितने फीसदी लड़के हुए पास?
10वीं बोर्ड एग्जाम में इस बार पास होने वाली लड़कियों का प्रतिशत 95 रहा है। वहीं 92.63 लड़के ही पास हो पाए हैं।
13 May 2025 at 13:45 IST
10वीं बोर्ड में लड़कियों ने मारी बाजी
10वीं बोर्ड 2025 में 93.66% छात्र-छात्राएं पास हुई हैं। इस साल के नतीजे पिछले साल के मुकाबले 0.66 प्रतिशत बेहतर रहे हैं। CBSE बोर्ड कक्षा 10वीं के रिजल्ट में इस साल 23 लाख से ज्यादा छात्रों ने रजिस्ट्रेशन कराया था, जबकि 22 लाख 21 हजार 636 स्टूडेंट्स पास हुए हैं। इस साल का कुल पास प्रतिशत 93.66 रहा है। 10वीं बोर्ड में भी लड़कियों ने बाजी मारी है।
13 May 2025 at 13:42 IST
किस रिजन का रिजल्ट टॉप पर?
सीबीएसई के रीजन-वाइज 10वीं के नतीजे देखें तो त्रिवेंद्रम ने बाजी मारी है। बताया जा रहा है कि त्रिवेंद्रम में 99.79 प्रतिशत स्टूडेंट्स पास हुए हैं। इसके बाद दूसरे नबंर पर विजयवाड़ा का रिजल्ट रहा जो कि 99.79 प्रतिशत है।
13 May 2025 at 13:28 IST
इस बार 93.66% छात्र हुए पास
CBSE 10वीं कक्षा के नतीजे घोषित कर दिए गए हैं। इस बा 93.66% छात्र बोर्ड परीक्षा में पास हुए हैं। पिछले साल से पासिंग प्रतिशत में 0.06% की वृद्धि हुई।
13 May 2025 at 13:22 IST
सीबीएसई 10वीं का रिजल्ट हुआ जारी
केंद्रीय माध्यमिक शिक्षा बोर्ड (CBSE) बोर्ड नतीजों से जुड़ी बड़ी खबर आई है। लाखों छात्रों का इंतजार आखिरकार खत्म हुआ। सीबीएसई ने 10वीं कक्षा के परिणाम जारी कर दिए हैं।
13 May 2025 at 13:18 IST
10वीं का रिजल्ट जारी होने से पहले स्टूडेंट्स कर लें ये तैयारी
सीबीएसई बोर्ड की परीक्षा देने वाले स्टूडेंट्स को रिजल्ट जारी होने से पहले कुछ तैयारी कर लेनी है जिससे कि उन्हें नतीजा देखने में दिक्कत न हो। स्टूडेंट्स को यह सलाह दी जाती है कि वह अपना एडमिट कार्ड ढूंढकर अपने पास रख लें। रिजल्ट देखने के लिए छात्रों को एडमिट कार्ड पर दिया गया रोल नंबर दर्ज करना होगा। इसके बिना परिणाम नहीं देख सकेंगे।
13 May 2025 at 13:17 IST
10वी बोर्ड का रिजल्ट SMS से भी कर सकते हैं चेक
10वीं बोर्ड का रिजल्ट चेक डिजिलॉकर ( DigiLocker) या उमंग ऐप ( UMANG App) के जरिये भी देखा जा सकता है। इसके अलावा एसएमएस से भी नतीजे देख सकेंगे। इसके लिए आपको अपने फोन से CBSE10, Roll No., DOB, school number, centre number लिखकर 7738299899 पर SMS भेजना होगा। इसके बाद आपके फोन पर रिजल्ट आ जाएगा।
13 May 2025 at 13:11 IST
सीबीएसई 12वीं का रिजल्ट जारी, 10वीं के छात्रों को इंतजार
सीबीएसई ने 12वीं कक्षा के परिणाम जारी कर दिए हैं। सीबीएसई 12वीं बोर्ड में इस बार फिर से लड़कियों ने बाजी मारी है। वहीं अब 10वीं के छात्रों को CBSE की ऑफिशियल वेबसाइट cbse.gov.in, cbseresults.nic.in और results.cbse.nic.in पर रिजल्ट चेक कर सकते हैं।
13 May 2025 at 12:51 IST
कब हुई थीं 10वीं की परीक्षाएं आयोजित?
इस बार 10वीं की परीक्षाएं 15 फरवरी से शुरू होकर 18 मार्च तक आयोजित की गई थीं। जबकि 12वीं की परीक्षाएं 15 फरवरी से शुरू होकर 4 अप्रैल को खत्म हुईं। आज, 13 मई को 12वीं के नतीजे घोषित कर दिए गए हैं। हालांकि 10वीं के छात्रों को थोड़ा और इंतजार करना होगा। जानकारी के अनुसार, आज ही 10वीं का भी रिजल्ट जारी होगा। सीबीएसई 2024 बोर्ड नतीजों की बात करें तो, कक्षा 10वीं के 93.60 प्रतिशत छात्र पास हुए थे। ऐसे में इस बार पास प्रतिशत क्या रहेगा और लड़के या लड़कियों में कौन बाजी मारेगा, देखने वाली बात होगी।
13 May 2025 at 12:50 IST
10वीं का रिजल्ट कैसे करें चेक?
10वी बोर्ड का रिजल्ट चेक करने के लिए इन स्टेप्स को फॉलो करें।
सबसे पहले CBSE की ऑफिशियल वेबसाइट results.cbse.nic.in या cbse.gov.in पर जाएं।
इसके बाद CBSE Class 10th Result के लिंक पर क्लिक करें।
अगले स्टेप में रोल नंबर, एडमिट कार्ड आईडी और जन्म तिथि डालें।
इसके बाद आपकी स्क्रीन पर रिजल्ट खुलकर आ जाएगा।
ऑफिशियल वेबसाइट के अलावा कई अन्य ऑप्शन्स भी हैं। डिजिलॉकर ( DigiLocker) या उमंग ऐप ( UMANG App) से भी परिणाम देखें जा सकते हैं। इसके अलावा एसएमएस से भी रिजल्ट चेक कर सकते हैं। इसके लिए आपको अपने फोन से CBSE10, Roll No., DOB, school number, centre number लिखकर 7738299899 पर SMS भेजना होगा। कुछ देर में आपके फोन पर रिजल्ट अपीयर हो जाएगा।
13 May 2025 at 12:49 IST
थोड़ी देर में जारी होगा CBSE बोर्ड 10वीं का रिजल्ट
सीबीएसई 12वीं की परीक्षा देने वाले लाखों छात्रों का इंतजार खत्म हो चुका है। 12वीं कक्षा के परिणाम जारी कर दिए गए हैं। इस बार परीक्षा में 88.39 फीसदी छात्र पास हुए हैं। वहीं दूसरी ओर CBSE बोर्ड 10वीं का रिजल्ट अब कभी भी जारी हो सकता है।
Published By : Priyanka Yadav
पब्लिश्ड 13 May 2025 at 12:53 IST